Contoh Surat Kuasa Festronik

4 Contoh Surat Kuasa Festronik Docx

4 Contoh Surat Kuasa Festronik Docx

Surat Kuasa Festronik

Surat Kuasa Festronik

Surat Kuasa Khusus

Surat Kuasa Khusus

Surat Kuasa Khusus

Surat kuasa penunjukan administrator.

Contoh surat kuasa festronik. 15 contoh surat kuasa khusus untuk berbagai keperluan paling lengkap jika diartikan secara sederhana maka surat kuasa khusus merupakan surat yang berisi pemberian kuasa atau wewenang kepada seseorang yang dapat dipercaya agar orang tersebut bertindak mewakili pemberi kuasa. 29 contoh surat kuasa berbagai keperluan yang benar surat kuasa pengertian fungsi macam unsur gurupendidikan com untuk pembahasan kali ini kami akan mengulas mengenai surat kuasa yang dimana dalam hal ini meliputi pengertian fungsi macam dan unsur nah agar lebih dapat memahami dan dimengerti simak ulasan selengkapnya dibawah ini. Permohonan hak akses pengguna manifes elektronik festronik kepada yth. 13 22 diisi oleh pengangkut.

Bertindak untuk dan atas nama serta mewakili pemberi kuasa menjadi dan menjalankan tugas sebagai administrator pengirim limbah b3 pada aplikasi manifest elektronik festronik. Contoh surat kuasa festronik pertama. Berbagai keperluan bank yang diwakilkan kepada orang lain semuanya harus menggunakan surat kuasa dari pemberi wewenang kepada penerima wewenang misalnya saja seperti penarikan uang tunai dari rekening bank melalui teller. Direktur jenderal pengelolaan sampah limbah dan bahan beracun berbahaya.

Manifes festronik pelacakan silacak konsultasi. Pengertian surat kuasa adalah surat yang berisi. Dalam hal ini pemberi kuasa biasanya memiliki kesibukan sehingga tidak bisa menjalankan kewajibannya dan harus. Surat kuasa ini adalah satu satunya surat kuasa yang sah benar dan diakui oleh pemberi kuasa.

1 12 diisi oleh pengangkut disyahkan oleh pengirim bagian kedua. Contoh surat kuasa yang akan kita bahas pada artikel kali ini bukan saja hanya sebatas contoh surat kuasa melainkan begaimana cara membuat format surat kuasa yang benar untuk referensi bagi anda yang sedang membuat surat kuasa. Contoh surat kuasa bank dalam dunia perbankan surat kuasa bukanlah sesuatu hal yang jarang. Bertindak untuk dan atas nama serta mewakili pemberi kuasa menjadi dan menjalankan tugas sebagai administrator pengirim limbah b3 pada aplikasi manifest elektronik festronik.

Bagi yang sudah berpengalaman tentu bukan hal yang sulit namun bagi anda yang belum berpengalaman biasanya akan berusaha mencari contoh surat kuasa supaya ada gambaran secara umum. Surat kuasa penunjukan administrator yang ditandatangani oleh penanggung jawab usaha dan atau kegiatan. Festronik direktorat verifikasi pengelolaan limbah bahan berbahaya dan beracun dan limbah non bahan berbahaya dan beracun. Nah kami sudah menyediakan ribuan contoh surat kuasa yang mungkin anda butuhkan.

Namun sebelum ke inti dari topik bahasan akan saya bahas dulu sedikit tentang surat kuasa baik itu fungsinya maupun jenisnya. Membuat surat kuasa memang susah susah mudah.

Surat Permohonan Manifest Festronik Docx

Surat Permohonan Manifest Festronik Docx

Festronik

Festronik

Surat Festronik Dan Siraja Limbah Online

Surat Festronik Dan Siraja Limbah Online

Penggunaan Festronik Klhk

Penggunaan Festronik Klhk

Formulir Pendaftaran

Formulir Pendaftaran

Festronik

Festronik

Formulir Pendaftaran Festronik

Formulir Pendaftaran Festronik

Kop Surat Perusahaan Formulir Surat Permohonan Kop Surat Perusahaan Tempat Nomor Dan Tanggal

Kop Surat Perusahaan Formulir Surat Permohonan Kop Surat Perusahaan Tempat Nomor Dan Tanggal

Surat Pengambilan Sampel

Surat Pengambilan Sampel

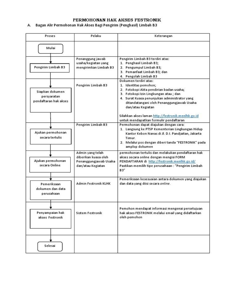
Permohonan Hak Akses Festronik

Permohonan Hak Akses Festronik

Contoh Surat Kuasa Pengambilan Surat Surat Kuasa Riwayat Hidup

Contoh Surat Kuasa Pengambilan Surat Surat Kuasa Riwayat Hidup

Contoh Surat Kuasa Pengambilan Uang Di Bank 2019 Surat Surat Kuasa Uang

Contoh Surat Kuasa Pengambilan Uang Di Bank 2019 Surat Surat Kuasa Uang

Source : pinterest.com